Índice de conteúdos
Índice de conteúdos- Capacity planning: O qué e, Fases e KPIs
- O que é capacity planning?
- Que fatores devem ser levados em conta no capacity planning?
- Quais são as fases do Capacity Planning?
- Quais KPIs podemos usar para medir a eficiência do capacity planning?
- Como o capacity planning coexiste e se integra a outros processos de negócios?
- A eficiência no capacity planning é uma questão de equilíbrio
- Perguntas frequentes sobre Capacity Planning
Visão geral
Capacity planning é o processo de determinar os recursos necessários (como força de trabalho), equipamentos e infraestrutura para atender à demanda futura, buscando um equilíbrio entre sobrecapacidade (altos custos fixos) e subcapacidade (vendas perdidas). Fatores-chave incluem forecasting da demanda de mercado, recursos humanos, tecnologia, infraestrutura, matérias-primas, finanças, estratégia da empresa e gestão de inventário.
Para todas as empresas, a satisfação do cliente é fundamental para o sucesso. Supere as expectativas dos clientes e você colherá os frutos da renda recorrente por meio do aumento da fidelidade e da melhoria da imagem da marca. Melhor ainda, você pode atrair novos clientes por meio do boca a boca… Por esses motivos, um alto nível de serviço – ser capaz de entregar o produto solicitado pelo cliente no prazo e na quantidade acordada – é uma prioridade para qualquer empresa.
Para distribuidores e varejistas, isso significa que é necessário ter capacidade suficiente: estoque para atender à demanda, uma força de trabalho suficiente e os equipamentos e a infraestrutura necessários para isso. No caso das empresas de manufatura, há também a complexidade adicional de ter de executar um processo que transforma matérias-primas e/ou produtos semiacabados no artigo final ou produto acabado.
Na busca de atingir esses objetivos, as empresas têm uma capacidade que não pode ser excedida devido a várias restrições. Quanto maior for essa capacidade, mais preparada a organização estará para responder aos picos de demanda sem medo de perder vendas. Mas, ao mesmo tempo, ela terá de enfrentar custos fixos mais altos. Para encontrar o ponto de equilíbrio, existe o planejamento da capacidade, sobre o qual falaremos neste artigo.
O que é capacity planning?
O equilíbrio é sempre uma virtude, e o capacity planning não é exceção. O planejamento para o máximo resultará em excesso de capacidade que custará caro à sua empresa. Da mesma forma, um planejamento muito “enxuto” pode significar que você não será capaz de atender à demanda. O que você pode ter certeza, no entanto, é que ambas as situações são prejudiciais à sua empresa.
O capacity planning busca encontrar um equilíbrio. Portanto, podemos defini-lo como o processo de determinar a quantidade de recursos necessários para atender à demanda futura por produtos ou serviços. Essa abordagem busca equilibrar a disponibilidade de recursos com a demanda, garantindo que uma empresa possa operar com eficiência sem incorrer em excessos ou escassez.
Que fatores devem ser levados em conta no capacity planning?
Os fatores a serem levados em conta ao realizar o capacity planning são diversos:
Demanda do mercado
Esse talvez seja o ponto mais elementar do planejamento da capacidade, pois se você não tiver ideia de qual será a demanda, é praticamente impossível planejar corretamente a capacidade necessária. Para prever a demanda com a maior precisão possível, você deve levar em conta dados históricos, informações de mercado, flutuações sazonais e outras métricas importantes.
Recursos Humanos
Sua capacidade como empresa também estará intimamente relacionada às mãos disponíveis e ao fato de sua força de trabalho ter o treinamento e as habilidades necessárias para atingir seus objetivos.
Tecnologia e equipamentos
No contexto do capacity planning, a tecnologia e os equipamentos desempenham papéis cruciais. No caso das empresas de manufatura, a capacidade de produção está diretamente relacionada à qualidade e às condições de suas máquinas e ferramentas. Se o equipamento estiver obsoleto ou não estiver em bom estado de manutenção, sua capacidade será comprometida. Em varejistas e distribuidores, melhores tecnologias e equipamentos também se traduzem em mais eficiência e, portanto, em maior capacidade.
Infraestrutura
A infraestrutura, que inclui o tamanho e o projeto das instalações, é outro fator determinante no planejamento da capacidade. As limitações físicas de sua fábrica, centro de distribuição ou lojas (entre outros) podem restringir sua capacidade de aumentar a capacidade, mesmo que haja outros recursos disponíveis. Um projeto eficiente pode melhorar o fluxo de trabalho. A avaliação e o planejamento de futuras expansões de infraestrutura também são fundamentais para garantir que você possa dimensionar as operações quando necessário.
Matérias-primas
Para os fabricantes, a disponibilidade e a qualidade das matérias-primas também são essenciais para manter a capacidade máxima de produção. As interrupções no fornecimento de materiais podem causar paradas na produção, afetando negativamente a capacidade de atender à demanda.
Finanças
O aspecto financeiro não pode ser ignorado no planejamento da capacidade. É necessário garantir que os recursos financeiros estejam alinhados com os planos de capacidade. Isso inclui ter um orçamento adequado para a aquisição de máquinas, contratação de pessoal e manutenção da infraestrutura. Portanto, a saúde financeira da empresa influencia sua capacidade.
Estratégia da empresa
O planejamento da capacidade deve estar alinhado com a estratégia geral da empresa. Se a estratégia for de crescimento agressivo, a capacidade deve ser planejada para apoiá-la. Isso implica não apenas ter os recursos necessários, mas também a flexibilidade para ajustar a capacidade de acordo com as oportunidades do mercado. As metas de longo prazo da empresa devem orientar as decisões de capacidade para garantir que tudo esteja voltado para os mesmos objetivos.
Gerenciamento de estoque
A gestão de estoques também é relevante para o planejamento da capacidade. A manutenção de níveis adequados de estoque garante que a demanda possa ser atendida sem incorrer em custos excessivos ou riscos de obsolescência.
Quais são as fases do Capacity Planning?
O processo de capacity planning pode ser dividido em várias fases.
Análise da situação atual
Determine a capacidade de produção atual, incluindo recursos humanos, maquinário, instalações e tecnologia. Da mesma forma, as restrições e os gargalos da empresa também devem ser identificados.
Previsão de demanda
Conforme mencionado acima, a previsão de demanda é uma fase crítica do capacity planning. Sem uma estimativa precisa da demanda futura, qualquer plano de capacidade será ineficaz.
Estratégias de desenvolvimento de capacidade
O desenvolvimento de estratégias de capacidade envolve a decisão de como os requisitos de capacidade identificados serão atendidos. Aqui, você explorará diferentes abordagens, como o aumento da eficiência operacional, o investimento em novas máquinas, a contratação de mais funcionários ou a terceirização de parte da produção ou de outros processos.
Implementação do plano de capacidade
Com a estratégia em mãos, é hora de colocar o plano em ação. A implementação do plano de capacidade pode envolver a aquisição de novos equipamentos, a reorganização das linhas de produção, o treinamento de pessoal adicional ou a expansão das instalações. Essa etapa exige uma coordenação cuidadosa para minimizar a interrupção de suas operações existentes. Para isso, é aconselhável ter um cronograma detalhado e atribuir responsabilidades claras para garantir que todos os aspectos do plano sejam executados com eficiência.
Monitoramento e controle
Depois que o plano de capacidade é implementado, o monitoramento e o controle contínuos são essenciais para garantir sua eficácia. Isso envolve o acompanhamento dos níveis de produção, da utilização de recursos e dos principais indicadores de desempenho (KPIs) para detectar quaisquer desvios do plano.
Revisão e ajuste
O capacity planning não é um processo estático; ele exige revisão e ajustes constantes. Após um período de implementação, é necessário avaliar o desempenho do plano e coletar feedback dos diferentes departamentos envolvidos. Analise se as metas de produção foram atingidas e se os recursos foram usados de forma eficiente. Ao chegar a conclusões, faça os ajustes necessários no plano de capacidade.
Quais KPIs podemos usar para medir a eficiência do capacity planning?
A eficiência pode ser avaliada por meio de diferentes KPIs que ajudam a ter uma ideia de quão otimizado é o planejamento da capacidade de uma organização:
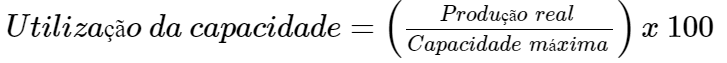
Capacity utilization
Uma métrica que mede o grau em que uma empresa usa sua capacidade de produção instalada. Indica a porcentagem da capacidade total disponível que está sendo realmente usada para a produção de bens ou serviços.
Um alto nível de utilização da capacidade geralmente indica uma operação eficiente, enquanto um nível baixo pode sugerir subutilização de recursos ou potencial para aumentar a produção sem investimento adicional.
Utilização da mão de obra
Mede a porcentagem de utilização dos recursos disponíveis, como funcionários, equipamentos e espaço .
Uso do espaço de armazenamento
Mede a porcentagem do espaço total de armazenamento que é realmente usada para armazenar produtos ou mercadorias .
Como o capacity planning coexiste e se integra a outros processos de negócios?
O capacity planning é um processo que não pode ser entendido isoladamente. Afinal, ele é uma engrenagem única que deve ser integrada a outros processos de negócios na máquina de negócios mais ampla para garantir o gerenciamento eficaz de recursos e o alinhamento com os objetivos. Então, como ele se integra aos outros processos de uma empresa e qual é o seu impacto?
Planejamento estratégico
- Integração: O planejamento da capacidade está alinhado com os objetivos estratégicos da organização para garantir que a capacidade de produção esteja de acordo com as metas de longo prazo.
- Impacto: A capacidade de produção deve ser capaz de apoiar o crescimento da empresa, a expansão do mercado ou as estratégias de diversificação de produtos.
Planejamento da demanda
- Integração: A previsão da demanda é fundamental para o planejamento da capacidade, pois é a base para saber quanta capacidade será necessária para atender às necessidades do mercado.
- Impacto: Permite que a capacidade de produção seja ajustada proativamente de acordo com as variações na demanda, otimizando assim a utilização dos recursos e minimizando os custos operacionais.
Planejamento da cadeia de suprimentos
- Integração: O planejamento da capacidade deve prever os recursos que serão necessários para atender à demanda, o que envolve uma estreita colaboração com os fornecedores e o gestão da cadeia de suprimentos.
- Impacto: Garante que a capacidade esteja alinhada com os fluxos de materiais, componentes e produtos acabados na cadeia de suprimentos, evitando interrupções na produção.
Gerenciamento de recursos humanos
- Integração: O planejamento da capacidade inclui o gerenciamento da mão de obra necessária para executar os processos da organização.
- Impacto: Facilita o planejamento do recrutamento, treinamento e desenvolvimento de pessoal com base nas necessidades de capacidade, garantindo que funcionários qualificados em número suficiente estejam disponíveis em todos os momentos.
Planejamento financeiro
- Integração: O planejamento da capacidade tem implicações financeiras significativas em termos de custos de produção, investimentos em ativos e orçamento operacional.
- Impacto: Permite a alocação eficiente de recursos financeiros, otimizando a lucratividade e o retorno sobre o investimento em capacidade.
A eficiência no capacity planning é uma questão de equilíbrio
Neste artigo, discutimos várias vezes a importância de manter níveis de estoque equilibrados para permitir que a empresa atenda à demanda e forneça o nível de serviço que pretende oferecer, sem incorrer em custos de excesso de estoque ou riscos excessivos de obsolescência.
Bem, no caso da capacidade, é exatamente a mesma coisa. A falta de capacidade resultará em perda de vendas e o excesso em uma estrutura superdimensionada que não é eficiente. E é por meio do capacity planning que as organizações podem regular sua capacidade para encontrar um equilíbrio.
Perguntas frequentes sobre Capacity Planning
Quais fatores influenciam a capacidade de uma empresa?
Os fatores que influenciam a capacidade de uma empresa incluem recursos humanos, tecnologia e equipamentos, sua infraestrutura, disponibilidade e sua situação financeira, entre outros.
Qual é a importância do planejamento de capacidade?
O planejamento da capacidade garante que uma empresa possa atender à demanda do mercado sem incorrer em custos excessivos ou perder oportunidades de vendas. O planejamento de capacidade otimiza a utilização de recursos, melhora a eficiência operacional e facilita a tomada de decisões, contribuindo para a lucratividade e a sustentabilidade dos negócios.
Quais pessoas estão envolvidas no planejamento de capacidade em uma organização?
Muito depende da natureza dos negócios da empresa. No entanto, podemos considerar que algumas das pessoas geralmente envolvidas no planejamento de capacidade podem ser o gerente de operações, o gerente de produção, a equipe de planejamento de demanda e o gerente de recursos humanos.
Que desafios podem surgir durante o processo de planejamento de capacidade?
Podem surgir desafios durante o processo de planejamento de capacidade, como a previsão precisa da demanda, que é essencial para evitar o excesso ou a falta de capacidade. O gerenciamento de recursos limitados, inclusive mão de obra e matérias-primas, também pode complicar o planejamento. Mudanças inesperadas no mercado ou interrupções na cadeia de suprimentos também podem desestabilizar as projeções.








