Resumen
El artículo describe cinco modelos de pedidos (s,Q; s,S; R,S; R,s,S; y Cantidad de Pedido Periódica o CPP), detallando sus características y métodos de cálculo, para luego aplicarlos a la Matriz de Estrategia de Inventarios y determinar el modelo más adecuado para cada grupo de artículos.
En las semanas anteriores, hemos calculado el valor de s (el nivel de pedido), el valor de Q (también conocido como el EOQ) y el cálculo del SS (stock de seguridad). Ahora, tenemos todas las herramientas para proceder a calcular el modelo de pedido indicado y podremos completar la Matriz de Estrategia de Inventario que presentamos algunas semanas atrás en Slimstock Academy Latinoamérica.
El Modelo s,Q
Éste modelo de pedido permite realizar pedidos de forma constante con un tamaño de lote fijo. Es decir, corresponde al pedido de una cantidad fija “Q” cuando el inventario disponible baja de cierto nivel fijo de inventario “s”. Podríamos presentarlo de manera gráfica en el siguiente ejemplo:

El Modelo s,S
Éste modelo de pedido permite realizar pedidos de forma constante pero con tamaño de lote variable. Es decir, se pueden hacer pedidos de una cantidad variable tal, que sumada al stock disponible, dé como resultado un inventario económico de “S” cuando el inventario disponible baja de cierto nivel fijo de inventario “s”. En éste caso, el valor de “S” sería igual al “s” + “Q” (según el enfoque del EOQ).
Ésta estrategia suele denominarse sistemas de máximos y mínimos. Donde el valor mínimo es “s” y el valor máximo es “S”. Gráficamente, podríamos expresarlo de la siguiente manera:

El Modelo R,S
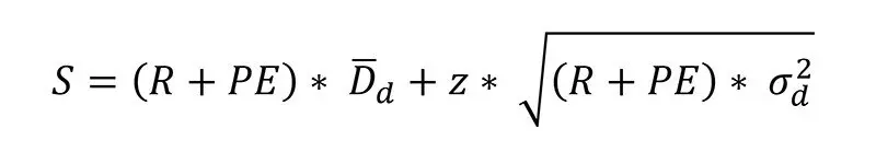
Éste modelo de pedido permite hacer pedidos periódicos con un tamaño de lote variable. Es decir, se establece que cada R días se puede hacer una compra. Además, la cantidad a comprar será equivalente al nivel de pedido máximo “S” menos el stock disponible. Un ejemplo claro en éste caso sería si sólo podemos hacer un pedido al proveedor una vez al mes. En ese caso, cada vez que se genere una compra, la cantidad a comprar será igual a la cantidad que le falta al inventario disponible. De esta manera se iguala al valor máximo “S”. La mayor complejidad radica en determinar cuál es el valor exacto de “S”, para lo cual podríamos aplicar la siguiente fórmula:

En la fórmula, “R” es la frecuencia de compra; “PE” es el plazo de entrega; D ̅_d es la demanda media por día; “z” es el factor de seguridad; σ_d^2 es la variación de la demanda por día. Si quisiéramos ver cómo aplicarlo, podríamos observar el siguiente gráfico:

El Modelo R,s,S
Éste modelo de pedido nos permite hacer pedidos periódicos con un tamaño de serie variable. En otras palabras, se puede hacer una compra cada “R” días. Si el inventario está por debajo del valor “s”, entonces hay que comprar la cantidad de unidades necesarias para que el stock económico se iguale a “S”. Existen dos condiciones que deben darse de manera simultánea para que se pueda efectivamente cursar un pedido. Para poder aplicar éste modelo de pedidos, se sugiere aumentar el intervalo de compra en 0.7, a fin de lograr cierto nivel de holgura con las unidades. Así, los pasos correctos en la gestión de éste modelo serían:
- Establecer “Q” según el método EOQ
- Calcular “s” según el método s,Q en el que no tomaremos “PE” como el plazo de entrega, sino que “PE+0.7” como el intervalo de pedido
- Definir “S” como “s+Q”
Gráficamente se vería el siguiente comportamiento:

El Modelo de Cantidad de Pedido Periódica CPP
El último modelo de pedido a describir, propone realizar pedidos de forma constante con un tamaño de serie fijo. Es mucho más sencillo que los demás modelos de pedidos. Esto, por que está orientado básicamente a los productos en los que no se quiere invertir muchos recursos. En su aplicación, el modelo sugiere comprar cantidades fijas de manera periódica. Sin considerar el nivel de inventario existente en ese momento. Estableciendo el valor de “Q” según la teoría del EOQ y luego calculando el intervalo de compra “R” con la siguiente fórmula:

Una vez que comprendemos los diferentes tipos de modelos , podremos determinar cual modelo de pedido se puede aplicar y a qué grupo de artículos. Para ello, recurriremos a la Matriz de Estrategia de Inventario que introdujimos en artículos anteriores en Slimstock Academy Latinoamérica, para completar cada celda con el modelo de gestión de inventarios apropiado:

¿En su compañía hay conocimiento de los diferentes modelos de pedido y de sus diferencias de cálculo?
¿Se aplica para cada tipo de artículo el modelo de pedido que más se ajusta a sus características?
¿Qué tan flexible es la aplicación de los modelos de pedidos que se adoptan en tu empresa?




